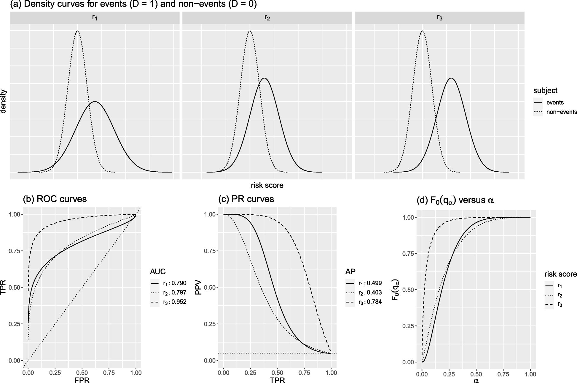
Fig. 2From: A relationship between the incremental values of area under the ROC curve and of area under the precision-recall curveComparison of three hypothetical risk scores r1,r2, and r3 at event rate π=0.05Back to article page